某二叉树结点的中序序列是ABCDEFG,后序序列为BDCAFGE,则该二叉树前序序列为()
A. EACBDFG
B. EACBDGF
C.ECBDAFG
D.ECBDAGF
一棵非空的二叉树的先序遍历序列与后序遍历序列正好相反,则该二叉树一定满足( )
A.所有结点均无左孩子
B.所有结点均无右孩子
C.只有一个叶子结点
D.任意一棵二叉树
某一二叉树中序遍历为eabdcf,后序遍历为aebfcd,则该二叉树先序遍历的顺序是( )。
A.adbecf B.dfecab C.dbeacf D.abcdef
任何一棵二叉树的叶子结点在前序、中序、后序遍历序列中的相对次序( )
A.肯定不会发生改变
B.肯定发生改变
C.不能确定
D.有时发生改变,有时不发生
在一非空二叉树的中序遍历序列中,根结点的右边( )
A.只有右子树上的所有结点
B.只有右子树上的部分结点
C.只有左子树上的部分结点
D.只有左子树上额所有结点
将一棵树T转换为一颗二叉树T2,则T的先序遍历是T2的( )。
A.先序 B.中序 C.后序 D.无法确定
将一棵树T转换为一颗二叉树T2,则T的后序遍历是T2的( )。
一棵二叉树的前序序列和序列可唯一确定一棵二叉树。
若某完全二叉树采用顺序存储结构,结点依次存放的顺序为:ABCDEFGH,则该二叉树的后序遍历序列为:(请使用大写字母)
下面左图中所画树的中序遍历序列为,前序遍历序列为。
先序序列为abc且后序序列为cba的二叉树一共有棵
先序序列为abc且后序序列为bca的二叉树一共有棵
已知用一维数组存放的一棵完全二叉树:ABCDEFGHIJKL,则该二叉树的后序遍历序列为、中序遍历序列为。(答案请使用大写字母)
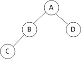
完成中序遍历二叉树的函数。运行中输入的数据生成如下图所示的二叉树。
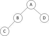
完成函数输出二叉树的先序序列。运行中输入的数据生成如下图所示的二叉树。
编写算法:统计一棵二叉树的叶子节点数目。
假设一棵二叉树的先序序列为EBADCFHGIKJ,中序序列为ABCDEFGHIJK,请写出该二叉树的后序遍历序列。
假设一棵二叉树的后序序列为DCEGBFHKJIA,中序序列为DCBGEAHFIJK,请写出该二叉树的先序遍历序列.
编写求一棵二叉树中结点总数的算法。