在一个具有n个顶点的无向图中,要连通全部顶点至少要()条边。
(A) n (B) n+1
(C) n-1 (D) n/2
能够正常拓扑排序的有向图中,最多存在()条环路。
(A) 1 (B) n
(C) 0 (D) n-1
关键路径是事件结点网络中的()
(A) 最长的回路
(B) 从源点到汇点的最短路径
(C) 从源点到汇点的最长路径
(D) 最短回路
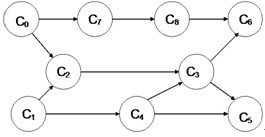
在下图中得到的一种拓扑序列为()
(A) C0C1C2C7C4C8C6C3C5 (B) C0C1C2C4C3C5C7C8C6
(C) C0C1C2C3C4C5C6C7C8 (D) C1C0C2C4C8C7C6C3C5
已知有向图G=(V,E),其中V={V1,V2,V3,V4,V5,V6,V7},
E={<V1,V2>,<V1,V3>,<V1,V4>,<V2,V5>,<V3,V5>,<V3,V6>,<V4,V6>,<V5,V7>,<V6,V7>},G的一个可能的拓扑序列是()。
(A) V1,V3,V4,V6,V2,V5,V7
(B)V1,V3,V2,V6,V4,V5,V7
(C) V1,V3,V4,V5,V2,V6,V7
(D)V1,V2,V5,V3,V4,V6,V7
判定一个有向图是否存在回路除了可以利用拓扑排序方法外,还可利用( )。
A.求关键路径的方法 B.求最短路径的方法
C.广度优先遍历算法 D.深度优先遍历算法
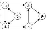
已知有向图如下所示,请写出该图的拓扑序列.(用顶点编号表示,不必写“V”。若存在多种选择,优先考虑编号较小的。)
画出左图的邻接矩阵表示法(直接在答案框内用空格和数字画),并根据该表示法,写出其拓扑排序序列
求从下图v0开始到其他各点的最短路径(请写出每次的选择步骤,可以不画表,列出即可;要写出v0到其他顶点的路径及路径长度)