在下列四个选项中,()操作能用于检测有向图是否有环。(A) 图的遍历(B) 拓扑排序(C) Prim算法(D) 迪杰斯特拉算法
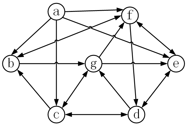
在上图中,如果从点 a 出发做该图的深度优先遍历(多个选择时按照字母大者顺序优先),则结果序列的第6个结点(结点a是第1个结点)是:
A. 结点c
B. 结点d
C. 结点g
D. 结点f
在上图中,如果从点 a 出发做该图的深度优先遍历(在遇到同时有多个选择时,按照字母从大到小的顺序优先选择),则遍历结果是:
A. a g b c f d e
B. a g b f d c e
C. a g f e d c b
D. a b g c d f e
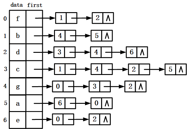
在上面有向图的邻接表中,如果从 e 点出发做深度优先搜索,则结果序列中的第5个(结点e是第1个)结点的值是:
A. b
B. d
C. g
D. c
在上面有向图的邻接矩阵中,如果从 a 点出发做深度优先搜索,则结果序列中的第6个(a点是第1个) 结点的值是:
A. g
B. f
C. e
D. d
在上图中,如果从点 a 出发做该图的深度优先遍历(多个选择时按照字母小者顺序优先),则结果序列的第4个结点(结点a是第1个结点)是:
在上面有向图的邻接表中,如果从 f 点出发做深度优先搜索,则结果序列中的第5个( f 点是第1个) 结点的值是:
B. g
C. d
D. e
在上面有向图的邻接表中,如果从 b 点出发做广度优先搜索,则结果序列中的第5个(b点是第1个) 结点的值是:
A. c
在上面有向图的邻接矩阵中,如果从 a 点出发做广度优先搜索,则结果序列中的第6个(a点是第1个) 结点的值是:
在上图中,如果从点 a 出发做该图的深度优先遍历(在遇到同时有多个选择时,按照字母从小到大的顺序优先选择),则遍历结果是:
A. a b g f c d e
B. a b g c d f e
C. a b c g d f e
D. a b g f d c e
在上面有向图的邻接表中,如果从 a 点出发做广度优先搜索,则结果序列中的第5个(a点是第1个) 结点的值是:
在上图中,如果从点 b 出发做该图的深度优先遍历(多个选择时按照字母大者顺序优先),则结果序列的第4个结点(结点b是第1个结点)是:
A. 结点e
在上图中,如果从点 a 出发做该图的深度优先遍历(多个选择时按照字母大者顺序优先),则结果序列的第4个结点(结点a是第1个结点)是:
如果无向图 G必须进行二次广度优先搜索才能访问其所有顶点,则下列说法中不正确的是( )。
A. G肯定不是完全图
B. G一定不是连通图
C. G中一定有回路
D. G有两个连通分量
在上图中,如果从点 a 出发做该图的广度优先遍历(多个选择时按照字母小者顺序优先),则结果序列的第5个结点(结点a是第1个结点)是:
在上面有向图的邻接矩阵中,如果从 a 点出发做深度优先搜索,则结果序列中的第5个(a点是第1个) 结点的值是:
在上面有向图的邻接矩阵中,如果从 a 点出发做广度优先搜索,则结果序列中的第5个(a点是第1个) 结点的值是:
在上面有向图的邻接表中,如果从 a 点出发做广度优先搜索,则结果序列中的第6个(a点是第1个) 结点的值是:
深度优先遍历类似于二叉树的( )
A.先序遍历 B.中序遍历 C.后序遍历 D.层次遍历
在上图中,如果从点 a 出发做该图的广度优先遍历(多个选择时按照字母大者顺序优先),则结果序列的第4个结点(结点a是第1个结点)是:
B. 结点b
C. 结点a
D. 结点g
在上图中,如果从点 b 出发做该图的广度优先遍历(多个选择时按照字母小者顺序优先),则结果序列的第4个结点(结点b是第1个结点)是:
在上图中,如果从点 a 出发做该图的深度优先遍历(多个选择时按照字母大者顺序优先),则结果序列的第5个结点(结点a是第1个结点)是:
C. 结点f
D. 结点b
在上图中,如果从点 a 出发做该图的深度优先遍历(多个选择时按照字母小者顺序优先),则结果序列的第5个结点(结点a是第1个结点)是:
用邻接表表示图进行广度优先遍历时,通常借助( )来实现算法。
A.栈 B. 队列 C. 树 D.图
在上图中,如果从点 a 出发做该图的广度优先遍历(多个选择时按照字母大者顺序优先),则结果序列的第6个结点(结点a是第1个结点)是:
C. 结点c
在上图中,如果从点 b 出发做该图的广度优先遍历(多个选择时按照字母小者顺序优先),则结果序列的第6个结点(结点b是第1个结点)是:
下列有关图遍历的说法不正确的是( )。
A.连通图的深度优先搜索是一个递归过程
B.图的广度优先搜索中邻接点的寻找具有“先进先出”的特征
C.非连通图不能用深度优先搜索法
D.图的遍历要求每一顶点仅被访问一次
在上面有向图的邻接矩阵中,如果从 b 点出发做广度优先搜索,则结果序列中的第7个(b点是第1个) 结点的值是:
在上面有向图的邻接矩阵中,如果从 b 点出发做深度优先搜索,则结果序列中的第5个(b点是第1个) 结点的值是:
A. e
D. a
已知图的邻接矩阵如下图所示,则从顶点v0出发按深度优先遍历的结果是( )。
下列说法不正确的是( )。
A.图的遍历是从给定的源点出发每一个顶点仅被访问一次
B.遍历的基本算法有两种:深度遍历和广度遍历
C.图的深度遍历不适用于有向图
D.图的深度遍历是一个递归过程
在上面有向图的邻接表中,如果从 b 点出发做广度优先搜索,则结果序列中的第6个(b点是第1个) 结点的值是:
用邻接表表示图进行深度优先遍历时,通常借助( )来实现算法。
在上图中,如果从点 b 出发做该图的广度优先遍历(多个选择时按照字母大者顺序优先),则结果序列的第4个结点(结点b是第1个结点)是:
在上面有向图的邻接矩阵中,如果从 b 点出发做广度优先搜索,则结果序列中的第5个(b点是第1个) 结点的值是:
A. f
在上图中,如果从点 b 出发做该图的广度优先遍历(多个选择时按照字母大者顺序优先),则结果序列的第6个结点(结点b是第1个结点)是:
在上面有向图的邻接矩阵中,如果从 b 点出发做深度优先搜索,则结果序列中的第7个(b点是第1个) 结点的值是:
C. f
在上图中,如果从点 b 出发做该图的深度优先遍历(多个选择时按照字母大者顺序优先),则结果序列的第3个结点(结点b是第1个结点)是:
采用邻接表存储的图的广度优先遍历算法类似于二叉树的( )
A.先序遍历 B.中序遍历
C.后序遍历 D.按层遍历
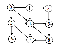
对于一个有向图,假定采用邻接表表示,并且假定每个顶点单链表中的边结点是按出边邻接点序号从大到小的次序链接的,试分别写出从顶点0出发按深度优先搜索遍历得到的顶点序列和按广度优先搜索遍历得到的顶点序列。
已知一个无向图的邻接矩阵如图所示,试写出从顶点6出发分别进行深度优先和广度优先搜索遍历得到的顶点序列。(选择顶点按照编号从小到大选择,可以不写过程)